JICAシニア海外ボランティア活動報告
1. シリアで行った活動
配属先の要請内容

- 派遣国:シリア・アラブ共和国
- 氏 名: 高瀬 義彦 (Yoshihiko Takase)
- 派遣期間:2006/10/2 - 2009/10/1 (1年延長)
- 職種・指導科目:メカトロニクス学科支援 (PLC)
- 配属先が属する省庁名:高等教育省
- 現地公用語:アラビア語
- 配属先名 : ティシュリーン大学機械電気工学部メカトロニクス工学科
- 配属先住所 : 地中海沿岸の主要都市ラタキア市
- 期待される具体的業務内容:極めて初歩の「PLCを使った実践的な物作り技術」をスタッフに指導する (現在の配属先スタッフの技術的レベルが初歩的段階にあるので、日本的に見れば極めて初歩の「PLCを使って実践的な物作り技術」を スタッフに指導することが主な業務内容となる。)
ラタキア市の地中海沿岸、大きいシュロ並木が亜熱帯気候を示す 遊覧船の浮かぶ地中海、水は澄んできれいだ
地中海沿岸沿いの高層ビルディング ラタキア市役所付近

配属先、ティシュリーン大学の概要
- 国立総合大学として高等教育を実施。全学生数は約45,000人(2006年)。JICAの協力で2003年メカトロニクス工学科が設立された。
- JICAとの協力関係
- JICA無償援助及び2003年12月から2006年4月までJICA専門家派遣
- 2006年4月からJICA SV派遣開始
- 2006年10月2 人目の JICA SV 派遣
- 2009 年 4 月 3 人目の JICA SV 派遣
- 機械電気工学部を構成する学科
- 電気エネルギー工学科
- 情報電子工学科
- 制御コンピュータ科学科
- 機械動力工学科
- 基礎科学科
- デザイン製造学科
- 海洋工学科
- メカトロニクス工学科
活動計画
- 講義
- “Mechatronics Applications Using PIC Microcontroller” (4年生向)
- “Automatic Control with Computer” (5年生向)
- USB制御プロジェクト
- 応用制御基板作成、応用プログラム作成、データ収集装置作成
- PC、USBインタフェース、PICによる自動制御装置作成
- ロボットアームプロジェクト
- JICAに申請中の情報保持電池が到着すればロボットアーム初期化作業開始、PLC、ロボットアームなどを含むJICA無償援助装置稼動作業開始
- サーボモータ使用ロボット指作成、ステップモータ制御応用(学生と共同)
- PID制御プロジェクト
- モータのPID制御装置の製作
- JICAに申請中の機材到着すればPID制御応用装置の製作
- 工場オートメーションプロジェクト
- 学科は4年経過しているのでこれまでいくつもの工場オートメーション関連プロジェクトを完成させている。大学スタッフと学生が中心に進めているプロジェクトに前記(1)〜(4)プロジェクトの技術で参加する。
- ネットワーク機能を持つPLCとモジュールの導入をJICAと大学に申請
活動結果
講義と講演
- "Mechatronics Applications Using PIC Microcontroller"(4年生向)
- "Automatic Control with Computer"(5年生向)
- 下図の講義室のコンピュータはJICAの援助で整備された。
ティシュリーン大学メカトロニクス学科での講義

- ダマスカスで日本のメカトロニクスを紹介
- アル・バース大学でティシュリーン大学の先生と一緒にメカトロニクスを紹介(2008/4/22(Tue))
- アレッポ大学の創立50周年記念行事の一つとしてメカトロニクス工学について講演 (2008/4/28(Mon))
ティシュリーン大学外での講演
Apr. 22, 2008 (Tue): I attended the lecture meeting held at the Al-Baas University to introduce experience of Mechatronics Department of Tishreen University. Lecturer: Dr. Bassam, Dr. George, Dr. Moustafa, Dr. Khnessi and me.

Apr. 28, 2008 (Mon): I attended the lecture held at the Aleppo University to introduce mechatronics. Lecture title: Mechatronics Engineering. This lecture was held as one of series of presentations of the 50th year anniversary of the University.

USB制御プロジェクト

- 応用基板作成、応用プログラム作成、データ収集装置作成
- EZ-USB/FX2キットを使用
- 新ICの採用: FT232RX
USB-RS232変換ICは仮想COMポート機能を持ち プログラミングが大幅に簡単になる。
- PC、USBインタフェース、PICによる自動制御装置作成
- High-precision analog I/O terminal for USB 2.0, AIO-160802AY-USB, product of CONTEC Co., Ltd を採用
- High-precision analog I/O terminal for USB 2.0, AIO-160802AY-USB, product of CONTEC Co., Ltd を採用
- このプロジェクトは単独プロジェクトではなく他のプロジェクトの自動制御インターフェイス用として使われている。
ロボットアームプロジェクト
- JICA 無償援助機器(RV−1A (三菱電機製))の稼働、およびC言語を使った制御プログラムの制作を行った。
- データバックアップ電池の交換、交換日更新、原点再設定作業をDr. Iyadと共同で行った。これには数時間の作業が必要だ。
- 既定はBASIC言語だが他の機器と組み合わせ可能にするためC言語制御 プログラムを開発した、動作試験をしているところ。
ロボットアームプロジェクト

- 5年生が卒業研究で製作したロボット腕と指を下図に示す。
- 制御プログラムをWindows PCで制作した。
- PCのUSBポートにUSB/RS232変換装置(FT232)を通してMicrocontroller(PIC16F877A)に接続する。
- PIC16F877AによりPWM信号を発生させDCモータを制御する。
- ロボット指は筋肉をシミュレーションするワイヤーによって動かされる。
ロボット指プロジェクト

PID制御プロジェクト
- PID制御プロジェクト
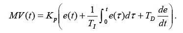
- 現在あらゆる工業分野で制御技術が使われている。最も広く使われているのがPID制御である。 大学スタッフとも協議しデジタルPID制御プロジェクトを学科に提出した。
- PID制御とは比例(P)、積分(I)、微分(D) controller (Proportional-Integral-Derivative controller)のことであり、 設定値と実測値の差(Error)が最小になるように、差の時間変化に対して比例、積分、微分演算を行った成分の和を制御対象に加える制御方式を言う。
- 輸入品に頼らず Made in Syria を作る目的で基礎から出発、最も多くの時間を使ってハードウェア、ソフトウェアをつくり精密な実験を行った。 その結果、優れた実験結果とそれに整合するシミュレーション特性を得た。結果は学術論文水準のものである。
- 大学では仕事の結果を共著論文にすることが最も確実な技術移転になる。
- 技術論文6編まとめる作業完了(Dr. George(当初のカウンターパート、後メカトロニクス学科長)と共著)
- Characteristics of PIC PWM controller measured by USB based data acquisition system
- Basic simulation of ideal digital PID controller
- DC motor speed control by PIC based digital PID controller
- Dynamic response of DC motor startup characteristic examined by simulation and experiment
- DC motor PID controller with locked anti-phase PWM driver
- DC motor position PID controllers examined by experiment and simulation
- 技術論文1(PWM制御特性)
Characteristics of PIC PWM controller measured by USB based Data acquisition system - 測定装置の写真(上からPIC Programmer, DC motor, PIC16F88 board, I/O board, 入出力ターミナル、PC制御画面)
- 技術論文2(PIDシミュレーション)
Basic simulation of ideal digital PID controller - シミュレーションシステムは次のようなステップで制作された。
- PID基本式 >> デジタル(有限要素法)表現 >> C言語プログラム
- 技術論文3(PIDスピード制御)
DC motor speed control by PIC based digital PID controller - DCモータのPIDスピード制御特性を測定する実験装置のブロックダイアグラムと実験装置の写真を示す。
- DCモータのPIDスピード制御ステップ応答特性を下図に示す。
- 技術論文4(DCモータシミュレーション)
Dynamic response of DC motor examined by simulation and experiment - コンピュータ・シミュレーション・システムを制作することによりDCモータの始動特性の動的応答が研究された。
- 測定装置はマイクロコントローラ・ボード、デジタル・マルチメータ、高精度USBアナログ入出力ターミナルによって構成された。
- モータの回転速度と電流の始動動的応答特性が測定された。
- シミュレーションで求められたそれらの特性は実験データと良い一致を示した。
- Determination of back electromotive force constant
- Comparison between simulation and experimental data
- 技術論文5 (Locked anti-phase PWM)
DC motor PID controller with locked anti-phase PWM driver - 技術論文6 (PID位置制御)
DC motor position PID controllers examined by experiment and simulation - コンピュータ・シミュレーション・システムをWindows APIを使用して制作した。
- モータの回転位置PID制御特性、実験とシミュレーション特性を比較した。
- ブロックダイアグラムと実験装置の写真
- 階段状参照信号に対する回転位置の動的応答特性(実験値 )
- 階段状参照信号に対する回転位置の動的応答特性 (シミュレーション)
概 要

PWM output (duty cycle = 25 %)
Current flow of motor (duty cycle = 25 %)
概 要
Block diagram of PID controller and process
基本方程式
デジタル表現の式
概 要
Dynamic responses of the revolution against step function type PWM signal for TI=0.8, 0.5, 0.3, 0.2 and 0.1. KP=1.4. PWM frequency was 240 Hz.
Dynamic responses of revolution with PI controller against step function type PWM signal
for the set variable = 634 (3311 rpm) and 701 (3661 rpm). PWM frequency was 240 Hz.
概 要
Equivalent circuit in dynamic state under mechanical resistance

Block diagram of experimental setup Photo of experimental setup


概 要
概 要

工場オートメーション プロジェクト
- 工場オートメーションプロジェクトは集合体であり多くのプロジェクトから構成される。
- 5年間でいくつもの雛形が製作された。最近のネットワーク化、遠隔操作、監視制御等に対応する計画が立案された。
工場オートメーションプロトタイプ マシンビジョンプロトタイプ

コンテナ移送プロトタイプ PIDコントローラプロトタイプ

- 工場オートメーションプロジェクトのネットワーク化
- 大学とJICA提供の機材の組立て完了、単体動作試験ほぼ完了、C言語制御プログラムライブラリ一部完成
- ネットワーク化は未完成、修士課程も設置されたので新規学生プロジェクトに期待
- JICA提供 ネットワーク対応PLC、監視制御ソフト:SCADA

- ロボットアームシステムと工業用CCDカメラの組合せ

- 大学提供:部屋のパーティショニング、PC10台と20台分のPC机
